Ò¼ºÅÓéÀÖAPP

Ñо¿Ð§¹û
ÄúÏÖÔÚµÄλÖÃ: Ê×Ò³ >> ¿ÆÑ§Ñо¿ >> Ñо¿Ð§¹û
ѧÊõÂÛÎÄ| Õý/·´¼â¾§Ê¯½á¹¹ÑÜÉúµÄNi1-xZnxFe2O4ÒìÖʽḴºÏÖÊÁÏÓÃÓÚppb¼¶±ûͪ¼ì²â
Ðû²¼Ê±¼ä£º2025/04/11 ×÷ÕߣºÈáÐÔ´«¸ÐÖÊÁÏÓëÆ÷¼þÑо¿¿ª·¢ÖÐÐÄ ÈªÔ´£ºÈáÐÔ´«¸ÐÖÊÁÏÓëÆ÷¼þÑо¿¿ª·¢ÖÐÐÄ


µÚÒ»×÷ÕߣºÁÎÏ齡

ͨѶ×÷Õߣº»Æ°®Æ¼¡¢ÁõÏÍÕÜ¡¢ÂÞ¼áÒå

 

Åä¾°½éÉܼ°ÄÚÈݸÅÊö

ΪÁËͨ¹ýºôÆøÆÊÎöʵÏÖÎÞ´´ÌÇÄò²¡Õï¶Ï£¬£¬¹¹½¨Ò»ÖÖ¾ßÓиßѸËÙ¶È¡¢¸ßÑ¡ÔñÐԺ͵ͼì²âÏ޵ĽðÊôÑõ»¯Îï±ûÍªÆøÌå´«¸ÐÓþßÓÐÖ÷ÒªÒâÒå¡£¡£¡£Ê¹ÓÃÒìÖʽáÖÊÁϽçÃæ´¦µÄÄÜ´øÍäÇúºÍÊÆÀÝת±ä¿ÉÒÔÏÔÖøÔöÇ¿ÖÊÁ϶ÔÄ¿µÄÆøÌåµÄÎüÔÞÐí·´Ó³ÄÜÁ¦£¬£¬´Ó¶øÌá¸ß´«¸ÐÆ÷µÄÐÔÄÜ¡£¡£¡£È»¶ø£¬£¬ÓÉÓÚ½çÏßÉϱ£´æ¾§¸ñʧÅäÒÔ¼°Ïà¹ØÖÊÁϵÄÈÈÅòÕÍϵÊý²î±ðÖÂʹºÜÈÝÒ×ÔÚ¸ßÎÂϱ¬·¢´í룬£¬ÒìÖʽáµÄ¹¹½¨ÃæÁÙ×ÅÖØ´óµÄÌôÕ½¡£¡£¡£

¿ËÈÕ£¬£¬Ò¼ºÅÓéÀÖAPPÈáÐÔ´«¸ÐÖÊÁÏÓëÆ÷¼þÑо¿¿ª·¢ÖÐÐÄÂÞ¼áÒå½ÌÊÚ¡¢»Æ°®Æ¼½ÌÊÚ¡¢ÁõÏÍÕܲ©Ê¿ÍŶӱ¨µÀÁËÒ»ÖÖʹÓþ§¸ñÆ¥ÅäµÄ½ðÊôÑõ»¯Î·´¼â¾§Ê¯½á¹¹µÄNiFe2O4ºÍÕý¼â¾§Ê¯½á¹¹µÄZnFe2O4£©¹¹½¨ÒìÖʽḴºÏÖÊÁϵĿÉÐÐÕ½ÂÔ£¬£¬ÒÔÔöÇ¿¶Ô±ûͪµÄ·´Ó³»îÐÔ¡£¡£¡£Í¨¹ýÔÚNiFe2O4µÄAλÒýÈëZn2+²¢µ÷½âNi/ZnĦ¶û±È£¬£¬ÀֳɵØÊµÏÖÁËÒìÖʽáµÄЭͬЧӦ£¬£¬´Ó¶øÌá¸ßÁ˱ûͪµÄ¼ì²âÄÜÁ¦¡£¡£¡£ÖµµÃ×¢ÖØµÄÊÇ£¬£¬´«¸ÐÐÔÄÜ×î¼ÑµÄNi0.6Zn0.4Fe2O4´«¸ÐÓþßÓÐÏÔÖøµÄ±ûͪ´«¸ÐÐÔÄÜ£¬£¬¶Ô1 ppm±ûͪÏìÓ¦¸ß´ï13.77£¬£¬ÏìӦʱ¼ä¶ÌÖÁ17 s£¬£¬¼ì²âÏÞµÍÖÁ20 ppb£¨ÀíÂÛ¼ì²âÏÂÏÞµÍÖÁ171 ppt£©£¬£¬¿¹Êª¶ÈÄÜÁ¦Ç¿£¬£¬ÇÒ¾ßÓÐÓÅÒìµÄÑ¡ÔñÐԺͺã¾ÃÎȹÌÐÔ¡£¡£¡£ÔÚºôÆøÄ£ÄâʵÑéÖУ¬£¬Ni0.6Zn0.4Fe2O4´«´«¸ÐÆ÷Äܹ»Çø·Ö¿µ½¡È˺ÍÄ£ÄâÌÇÄò²¡»¼ÕߺôÆøÖеıûͪº¬Á¿£¬£¬´Ó¶øÅú×¢Æä¾ßÓи¨ÖúÕï¶ÏÌÇÄò²¡µÄDZÁ¦¡£¡£¡£Ñо¿Ð§¹ûÅú×¢£¬£¬Õý/·´¼â¾§Ê¯ÌúÑõÌåÑÜÉúµÄÒìÖʽḴºÏÖÊÁÏΪºôÆøÆÊÎöÓÐÓüì²â±ûͪÒÔÕï¶ÏÌÇÄò²¡ÌṩһÖÖÐÂÕ½ÂÔ¡£¡£¡£

±¾ÊÂÇéÒÔ¡°Ni1-xZnxFe2O4 heterojunction composites derived from normal/inverse spinel structure for ppb-level acetone detection¡±ÎªÌ⣬£¬½ÒÏþÔÚSensors and Actuators: B. Chemical ÉÏ¡£¡£¡£

ÂÛÎÄÏêϸÊÂÇéÄÚÈÝ

DAF6F913D6E3969A0CB59D70FCD_D46711A3_99F9 

ͼ1 £¨a£©MFe2O4£¨M=NiºÍZn£©¼â¾§Ê¯½á¹¹Ê¾Òâͼ£» £»£¨b£©ÓÃÓÚ¼ì²âppb¼¶±ûͪµÄNi1-xZnxFe2O4ÒìÖʽḴºÏÖÊÁϵĺϳÉʾÒâͼ 

178731099D832C26FDACBD0BE4D_2E995E25_7FFA 

ͼ2 £¨a£©Ni1-xZnxFe2O4ÑùÆ·µÄXRDͼÆ×£» £»£¨b£©311¾§ÃæÑÜÉä½ÇµÄ¾Ö²¿·Å´óͼÆ×£» £»£¨c£©Ni1-xZnxFe2O4ÑùÆ·µÄÀ­Âü¹âÆ×

04F848644D834F8C38A5C2C0769_B6732F7E_1BCCD 

ͼ3 Ni1-xZnxFe2O4ÑùÆ·µÄɨÃèµç×ÓÏÔ΢¾µÍ¼Ïñ£¨SEM£©:£¨a£©NiFe2O4£¬£¬£¨b£©Ni0.8Zn0.2Fe2O4£¬£¬£¨c£©Ni0.6Zn0.4Fe2O4£¬£¬£¨d£©Ni0.4Zn0.6Fe2O4£¬£¬£¨e£©Ni0.2Zn0.8Fe2O4ºÍ£¨f£©ZnFe2O4;£¨g-k£©Ni0.6Zn0.4Fe2O4ÑùÆ·µÄEDSÔªËØÍ¼Æ×£» £»£¨l£©Ni0.6Zn0.4Fe2O4ÑùÆ·µÄTEMºÍHRTEMͼÏñ

4D40A711D3E9831D7E449CA88D3_235867CE_AE77 

ͼ4 £¨a£©NiFe2O4£¬£¬£¨b£©Ni0.8Zn0.2Fe2O4£¬£¬£¨c£©Ni0.6Zn0.4Fe2O4£¬£¬£¨d£©Ni0.4Zn0.6Fe2O4£¬£¬£¨e£©Ni0.2Zn0.8Fe2O4ºÍ£¨f£©ZnFe2O4µÄN2Îü¸½-½âÎüµÈÎÂÏߺͿ׾¶ÂþÑÜ

F5271C47BEF6457D3FF8075AFF6_C3A9C65A_101F6 

ͼ5 Ni1-xZnxFe2O4ÑùÆ·µÄ£¨a-f£©Fe 2pºÍ£¨g-l£©O 1s¹âÆ×£» £»£¨m£©Ni1-xZnxFe2O4ÑùÆ·ÖÐOL¡¢OVºÍOCÒòËØµÄÏà±ÈÕÕÀý£» £»£¨n£©Ni1-xZnxFe2O4ÑùÆ·ÖÐFe3+ºÍFe2+µÄ°Ù·Ö±Èº¬Á¿

6621EB03EFC6E747AF033866DBB_1A520F85_A80E 

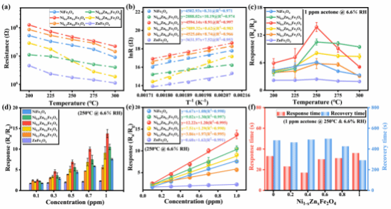
ͼ6 £¨a£©Ni1-xZnxFe2O4´«¸ÐÆ÷ÔÚ¿ÕÆøÖеç×èÓëζȵĹØÏµ£» £»£¨b£©Ni1-xZnxFe2O4´«¸ÐÆ÷µÄµç×è¶ÔÊýÓëζȵĹØÏµ£» £»£¨c£©Ni1-xZnxFe2O4´«¸ÐÆ÷¶Ô1 ppm±ûͪµÄ×î¼ÑÊÂÇéζȣ» £»Ni1-xZnxFe2O4´«¸ÐÆ÷ÔÚ×î¼ÑÊÂÇéζÈ϶Ô1 ppm±ûͪµÄ´«¸ÐÌØÕ÷£¬£¬°üÀ¨£¨d£©ÏìÓ¦ÖµËæÆøÌåŨ¶ÈµÄת±ä£» £»£¨e£©ÏìÓ¦Óë±ûͪŨ¶ÈÖ®¼äµÄÄâºÏ¹ØÏµ£» £»£¨f£©ÏìÓ¦ºÍ»Ö¸´Ê±¼ä

AEE2A0924A8FE39B8627C3C9BFF_99A0E151_5DF7 

ͼ7 £¨a£©Ni0.6Zn0.4Fe2O4´«¸ÐÆ÷¶Ô²î±ðŨ¶È±ûͪµÄµç×èÇúÏߺÍÏìӦ˲̬ÇúÏߣ» £»£¨b£©³õʼÏà¶Ôµç×èת±äΪ»ùÏßµÄÎå½×¶àÏîʽÄâºÏÇúÏߣ» £»£¨c£©Ni0.6Zn0.4Fe2O4´«¸ÐÆ÷¶Ô²î±ð±ûͪµÄƽ¾ùÏìÓ¦£» £»£¨d£©À´×Ô£¨c£©µÄÏßÐÔÄâºÏÇúÏß

E4117ACF92C9C06B60BAED04749_F1866214_87FA 

ͼ8 Ni0.6Zn0.4Fe2O4´«¸ÐÆ÷ÔÚ×î¼ÑÊÂÇéζÈ϶ԱûÍªÆøÌå´«¸ÐÌØÕ÷£º£¨a£©Öظ´ÐÔ£¬£¬£¨b£©¿ÉÄæÐÔ£¬£¬£¨c£©¿¹Êª¶È£¬£¬£¨d£©Ñ¡ÔñÐԺͣ¨e£©ºã¾ÃÎȹÌÐÔ£» £»£¨f£©±¾ÊÂÇéÓë½ü¼¸Äê¼â¾§Ê¯ÌúÑõÌ寸Ìå´«¸ÐÆ÷¶Ô²î±ð±ûͪŨ¶ÈµÄÏìÓ¦½ÏÁ¿ 

D75D903938E6F0A36B195EDA524_40A26D77_8C7E 

ͼ9 Ni0.6Zn0.4Fe2O4´«¸ÐÆ÷¶Ô£¨a-c£©¿µ½¡È˺ͣ¨d-f£©Ä£ÄâÌÇÄò²¡È˵ĺôÆø²âÊÔʾÒâͼ 

7E7260094A27AB7712C5B020787_0A5100E8_C750 

ͼ10 Ni1-xZnxFe2O4ÒìÖʽḴºÏÖÊÁϵıûͪ´«¸Ð»úÖÆÊ¾Òâͼ

 

×ܽáÓëÕ¹Íû

×ÛÉÏËùÊö£¬£¬½ÓÄÉÒ»²½Ë®ÈÈ·¨¸ßЧµØºÏ³ÉÁ˲î±ðNi/ZnĦ¶û±ÈµÄNi1-xZnxFe2O4ÒìÖʽḴºÏÖÊÁÏ¡£¡£¡£Ö®ºó¶ÔºÏ³ÉµÄNi1-xZnxFe2O4ÒìÖʽḴºÏÖÊÁϵÄÎïÏà½á¹¹¡¢Î¢¹ÛÐÎò¡¢»¯Ñ§ÒòËØºÍ´«¸ÐÐÔÄܾÙÐÐÁË×ÛºÏÆÀ¼Û¡£¡£¡£ÔÚNi1-xZnxFe2O4¸´ºÏÖÊÁÏÖУ¬£¬ÀÖ³ÉÊӲ쵽ÁËÓÉÕý¼â¾§Ê¯ZnFe2O4ºÍ·´¾§Ê¯NiFe2O4×é³ÉµÄn-nÒìÖʽáµÄÐγÉ¡£¡£¡£» £»ùÓÚNi1-xZnxFe2O4ÒìÖʽḴºÏÖÊÁϵĴ«¸ÐÆ÷¶Ôppb¼¶µÄ±ûͪ¾ßÓÐÏÔÖøµÄÆøÃôÌØÕ÷£¬£¬ÆäÖУ¬£¬Ni0.6Zn0.4Fe2O4´«¸ÐÓþßÓÐ×î¼ÑµÄ±ûͪ´«¸ÐÐÔÄÜ£¬£¬ÔÚ0.1-1 ppmµÄ±ûͪŨ¶È¹æÄ£ÄÚ¾ßÓÐÓÅÒìµÄÏßÐÔ¶È£¬£¬µÍ¼ì²âÏÞ¡¢¿ìËÙÏìӦʱ¼ä¡¢ÓÅÒìµÄ¿¹Êª¶È¡¢ÓÅÒìµÄÑ¡ÔñÐԺͺã¾ÃµÄÎȹÌÐÔ¡£¡£¡£ÓÅÒìµÄ´«¸ÐÌØÕ÷¹éÒòÓÚ£º£¨i£©¸»ºñµÄn-nÒìÖʽáµÄÐγÉ£¬£¬£¨ii£©½Ï´óµÄ±ÈÍâò»ýºÍºÏÊʵĿ׾¶ÂþÑÜ£¬£¬£¨iii£©Zn2+µÄÒýÈ뱬·¢¸ü¶àµÄ¾§ÌåȱÏÝ£¨Ñõ¿Õ룩£¬£¬ÒÔ¼°£¨iv£©»¯Ñ§Îü¸½ÑõµÄÔöÇ¿¡£¡£¡£±ðµÄ£¬£¬Ni0.6Zn0.4Fe2O4´«¸ÐÆ÷±»ÓÃÓÚÆÊÎöÕæÊµºô³öµÄÆøÌ壬£¬Çø·Ö¿µ½¡¸öÌåºÍÌÇÄò²¡»¼Õß¡£¡£¡£ÕâЩЧ¹ûÅú×¢£¬£¬»ùÓÚNi1-xZnxFe2O4ÒìÖʽḴºÏÖÊÁϵĴ«¸ÐÆ÷ÔÚÌÇÄò²¡µÄÕï¶ÏÖоßÓÐÏ൱´óµÄÓ¦ÓÃDZÁ¦¡£¡£¡£

×÷Õß¼°ÍŶӽéÉÜ

µÚÒ»×÷ÕߣºÁÎÏ齡£¬£¬ÄУ¬£¬Ò¼ºÅÓéÀÖAPPÓ¦ÓÃÎïÀíÓëÖÊÁÏѧԺ2022¼¶ÖÊÁÏÓ뻯¹¤Ë¶Ê¿Ñо¿Éú¡£¡£¡£

ͨѶ×÷Õߣº»Æ°®Æ¼£¬£¬Å®£¬£¬¹¤Ñ§²©Ê¿£¬£¬½ÌÊÚ¼¶¸ß¼¶¹¤³Ìʦ¡¢Ò¼ºÅÓéÀÖAPP½ÌÊÚ£¬£¬Ë¶Ê¿Éúµ¼Ê¦£¬£¬ÖйúµçԴѧ»á´ÅÊÖÒÕרҵίԱ»áίԱ¡¢ÖйúµçԴѧ»á»áÔ±¡¢Öйúµç×Óѧ»á»áÔ±¡¢½­ÃÅÊÐÒ»¼¶¸ßÌõÀíÈ˲Å£¬£¬¡¶´ÅÐÔ×ÓÁϼ°Æ÷¼þ¡·ÇàÄê±àί¡£¡£¡£ºã¾Ã´ÓʸßÐÔÄÜÈí´ÅÌúÑõÌåÖÊÁÏÑз¢¼°ÖÆÔìÊÖÒÕÑо¿£¬£¬¿Æ¼¼Ð§¹û¡°¼æ¾ßË«ÖØÌØÕ÷¸ßÐÔÄÜÃÌпÌúÑõÌåÖÊÁÏ¡±ÊôÓÚ¹ú¼ÊÊ×´´£¬£¬¿ª´´Á˺£ÄÚÃÌпÌúÑõÌåÐÂÖÊÁÏÑо¿¾Ö²¿ÒýÁìÌìϵÄÏȺÓ£¬£¬²¢ÊµÏÖÁ˵ͱ¾Ç®¹¤Òµ»¯¡£¡£¡£Ö÷ÒªÑо¿Æ«Ïò£ºÌúÑõÌå¡¢½ðÊôÈí´Å¼°Æä¸´ºÏÖÊÁϵÄÉè¼ÆÑз¢ÓëÖÆ±¸ÊÖÒÕ£» £»ÖÖÖÖ´«¸ÐÖÊÁÏ£¨Á¦Ñ§¡¢ÆøÌå¡¢´Å³¡µÈ£©µÄÉè¼ÆÓëÓ¦ÓÃÑо¿¡£¡£¡£

ͨѶ×÷ÕߣºÁõÏÍÕÜ£¬£¬ÄУ¬£¬¹¤Ñ§²©Ê¿£¬£¬½²Ê¦£¬£¬Ë¶Ê¿Éúµ¼Ê¦£¬£¬Ö÷³Ö¹ã¶«Ê¡»ù´¡ÓëÓ¦Óûù´¡Ñо¿»ù½ðÏîÄ¿£¨ÇàÄê»ù½ðÏîÄ¿ºÍÃæÉÏÏîÄ¿£©2ÏîºÍ¹ã¶«Ê¡Í¨Ë׸ßÐ£ÌØÉ«Á¢ÒìÏîÄ¿1Ï £»Ö÷ÒªÑо¿Æ«ÏòΪ£ºÈáÐÔ´«¸ÐÖÊÁÏºÍÆ÷¼þ¼°ÆäÓ¦ÓÃÑо¿¡¢ÐÂÐ͹âµçÖÊÁÏÓëÆ÷¼þ¡¢ÅçīӡˢÈáÐÔµç×ÓÆ÷¼þ¡£¡£¡£

ͨѶ×÷ÕߣºÂÞ¼áÒ壬£¬ÄУ¬£¬¹¤Ñ§²©Ê¿£¬£¬½ÌÊÚ£¬£¬²©Ê¿Éúµ¼Ê¦£¬£¬ÏÖÈÎÒ¼ºÅÓéÀÖAPPÓ¦ÓÃÎïÀíÓëÖÊÁÏѧԺԺ³¤£¬£¬Ò¼ºÅÓéÀÖAPPÈáÐÔ´«¸ÐÖÊÁÏÓëÆ÷¼þÑо¿¿ª·¢ÖÐÐÄÖ÷ÈΣ¨Ê×´´ÈË£©£¬£¬¹úÎñÔºÕþ¸®ÌØÊâ½òÌùר¼Ò£¨2023£©£¬£¬¹ã¶«Ê¡ÓÅÒìÇàÄê»ù½ð»ñµÃÕߣ¬£¬¹ú¼ÒÖØµãÑз¢ÍýÏëÖÇÄÜ´«¸ÐÖØµãרÏî»áÆÀר¼Ò£¬£¬ÄÏÔÁÓÅÒìÎ÷ϯ£¬£¬½­ÃÅÊÐÊ׽조ÇÈÏçÇàÄêÄ£·¶¡±£¬£¬½­ÃÅÊÐÓÅÒì¿Æ¼¼ÊÂÇéÕߣ¬£¬½­ÃÅÊС°Ê®¼ÑÎ÷ϯ¡±¡£¡£¡£Ö÷ÒªÑо¿ÁìÓò°üÀ¨£ºÈáÐÔ´«¸ÐÖÊÁÏÓëÆ÷¼þÓ¦Óã¨ÈáÐÔ´¥¾õ´«¸Ð¡¢Î¶ȴ«¸Ð¡¢ÆøÌå´«¸ÐºÍ¹âµç´«¸ÐµÈ£©£» £»ÄÉÃ×¹¦Ð§ÖÊÁϺϳɣ» £»ÖÇÄܵ÷¹â±äÉ«ÖÊÁÏÓëÆ÷¼þ¡£¡£¡£

 

¸½ÎÄÏ×¼°DOIºÅ

Ni1-xZnxFe2O4 heterojunction composites derived from normal/inverse spinel structure for ppb-level acetone detection

DOI:https://doi.org/10.1016/j.snb.2025.137733

¡¾ÍøÕ¾µØÍ¼¡¿